구의동 스*머시 관련 안분배당표 > 국민생각이야기
본문 바로가기
법률사무소 소개
- 인사말
- 오시는길
- 전문변호사 등록증
구성원소개
- 변호사
- 사무국
- 고문
업무분야
- 민사
- 부동산
- 손해배상
- 채권추심
- 명도
- 형사
- 성범죄
- 가사
- 이혼
- 행정
- 보험
- 기업회생
- 등기
- 조세
국민생각소식
- 국민생각소식
승소사례
- 승소사례
무료상담안내
- 무료상담안내
- 비공개온라인상담
HOME
|
CONTACT US
오시는길
인천광역시 부평구
경원대로1367번길 4, 3층
(부평역 지하 16번 출구 근처)
자세히보기 +
국민생각이야기
구의동 스*머시 관련 안분배당표
관련링크
이전글
다음글
목록
본문
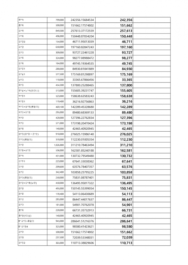
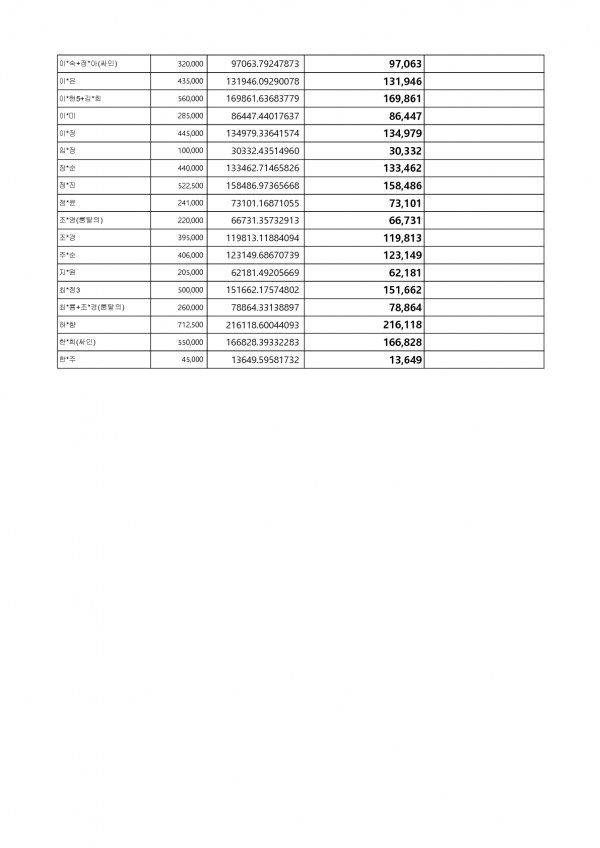
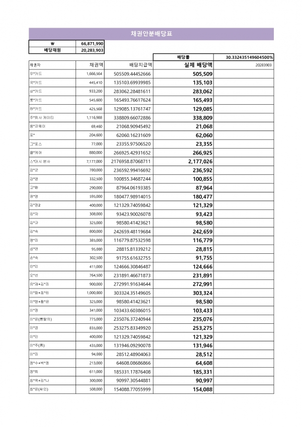
※ 누르면 사진이 커집니다.
* 채권 안분 배당표
* 한정승인 심판문
이전글
다음글
목록
회사명 : 법률사무소 국민생각 사업자등록번호 : 122-31-33178 담당변호사 : 한필운 주소 : 인천광역시 부평구 경원대로1367번길 4, 3층
전화 : 032-505-8084 팩스 : 032-505-8086 이메일 : people.lawyers@gmail.com
Copyright © 법률사무소 국민생각 All rights reserved.
(admin)